티스토리 뷰

옵션투자 준비 및 이해.
옵션투자는 금융 파생상품 중 하나로, 특정 기초자산을 미래에 정해진 가격으로 사거나 팔 수 있는 권리를 매매하는 것입니다. 옵션은 크게 콜옵션과 풋옵션으로 나누어집니다. 위의 2가지 옵션의 카테고리 내에서 매수 매도의 선택지가 주어집니다. 결국 투자자가 취할 수 있는 포지션은 4가지입니다. 콜매수, 콜매도, 풋매수, 풋 매도의 4가지 포지션을 취할 수 있습니다. 특이사항으로 , 신규 매도가 있는데 이것은 투자자가 기존에 보유하고 있지 않은 옵션을 시장에 처음으로 판매하는 것을 의미합니다. 영화 '빅쇼트'에서 신용부도스와프를 만들어 판매하는데 여기에서 판매된 CDS는 보호매도자, 즉 숏포지션에 해당된다고 이해하시면 편합니다.
옵션거래의 자격: 국내에서 옵션 거래를 하기 위해서는 몇 가지 자격 요건을 충족해야 합니다. 일반적으로, 투자자는 다음과 같은 절차를 따라야 합니다.
증권거래계좌 개설: 옵션 거래를 위해서는 증권거래계좌가 필요합니다. 현물계좌와 파생계좌는 구분되어 개설되기 때문입니다. 하나의 계좌에서 선물.옵션.주식을 다 하실 순 없습니다.
사전교육 이수: 한국거래소의 선물 및 옵션 거래를 하고자 하는 일반 개인투자자는 파생상품 투자위험 등을 숙지하기 위한 사전 의무교육 과정을 이수해야 합니다. 그리고 이수증을 증권사에 제출하셔야 합니다.
모의거래 이수: 실제 거래에 앞서 모의거래를 통해 시장의 움직임과 거래 방법을 익혀야 합니다. 이 과정은 투자자의 경험과 투자성향에 따라 필요한 이수 시간이 달라질 수 있습니다.
기본예탁금 입금: 선물옵션 거래를 위해서는 기본예탁금 1,000만 원 이상을 입금해야 하며, 옵션 매도 포지션 진입 시 추가 예탁금이 필요할 수 있습니다. (증권사 마다 그리고 투자성향에 따라 예탁금의 차이가 발생할 수 있습니다.)
이러한 과정을 통해 옵션 거래에 필요한 기본 지식과 시스템 사용법을 익히고, 리스크 관리 능력을 갖추게 됩니다. 자세한 절차와 요건은 사용하고 있는 증권사의 안내를 참고하시거나, 금융투자협회의 교육 시스템을 통해 확인하실 수 있습니다.
옵션 거래방법과 전략.
옵션거래의 방법 : 옵션 거래에는 유럽식 옵션과 미국식 옵션이 있으며, 유럽식은 만기일에만, 미국식은 언제든지 권리를 행사할 수 있습니다. 옵션 거래는 복잡하고 위험할 수 있으므로, 투자 전에 충분한 교육과 모의투자를 통해 이해하는 것이 중요합니다. 한국의 옵션 거래 시장에서는 주로 유럽식 옵션 방식을 채택하고 있습니다. 유럽식 옵션은 만기일에만 권리를 행사할 수 있는 반면, 미국식 옵션은 만기일 전 언제든지 권리를 행사할 수 있습니다. 대부분의 경우, 한국에서 거래되는 옵션들은 유럽식 옵션의 특성을 따르고 있으며, 이는 국제적으로도 흔히 볼 수 있는 거래 방식입니다. 그러나 특정 상품이나 시장에 따라 미국식 옵션을 채택하는 경우도 있으니, 거래하려는 옵션의 종류에 대해 정확히 확인하는 것이 중요합니다
또한, 옵션투자는 다양한 투자전략을 가능하게 하며, 위험 관리 도구로도 활용됩니다.
예를 들어, 프로텍티브 풋 전략은 기초자산을 보유하면서 풋옵션을 매수하는 것입니다. 이러한 전략들은 투자자가 자신의 포트폴리오를 보호하고, 시장 변동성에 대응할 수 있게 도와줍니다.
1. 옵션의 4가지 포지션에 대한 이해.
콜옵션(Call Option)은 기초자산을 약정된 가격(행사가격)으로 구매할 수 있는 권리입니다. 주가 상승을 예상할 때 유리합니다. 콜옵션의 포지션은 아래와 같이 두 가지 방향성을 갖습니다.
콜옵션 매수(Call Option Buying): 콜옵션 매수자는 미래에 정해진 가격으로 기초자산을 구매할 권리를 가집니다. 주가 상승을 예상할 때 이 포지션을 취합니다. 만약 주가가 상승하면, 매수자는 낮은 행사가격으로 자산을 구매하고 시장가격으로 팔아 이익을 얻을 수 있습니다.
콜옵션 매도(Call Option Selling): 콜옵션 매도자는 매수자에게 기초자산을 정해진 가격으로 판매할 의무를 가집니다. 주가 하락이나 변동 없음을 예상할 때 이 포지션을 취합니다. 만약 주가가 행사가격 이하로 떨어지면, 매도자는 옵션 프리미엄을 이익으로 얻습니다.
풋옵션(Put Option)은 기초자산을 약정된 가격으로 판매할 수 있는 권리입니다. 주가 하락을 예상할 때 유리합니다.
풋옵션 매수(Put Option Buying): 풋옵션 매수자는 미래에 정해진 가격으로 기초자산을 판매할 권리를 가집니다. 주가 하락을 예상할 때 이 포지션을 취합니다. 만약 주가가 하락하면, 매수자는 높은 행사가격으로 자산을 팔고 시장가격으로 다시 사서 차익을 얻을 수 있습니다.
풋옵션 매도(Put Option Selling): 풋옵션 매도자는 매수자에게 기초자산을 정해진 가격으로 구매할 의무를 가집니다. 주가 상승이나 변동 없음을 예상할 때 이 포지션을 취합니다. 만약 주가가 행사가격 이상으로 유지되면, 매도자는 옵션 프리미엄을 이익으로 얻습니다.
2. 옵션을 활용한 전략.
1)합성투자 방식: 옵션투자 전략 중 하나로, 특정 지수나 자산의 성과를 복제하기 위해 파생상품을 활용하는 방법입니다. 이 방식은 실제로 해당 자산을 보유하지 않고도 그 자산의 수익률을 따라갈 수 있게 해 줍니다
2) 합성 복제 방식(Synthetic Replication): 이 방식은 기초지수를 구성하는 자산을 직접 보유하지 않고, 대신 '수익률 스왑’이라는 장외파생상품을 활용하여 지수의 수익률을 추종합니다. 이는 특히 해외 주식이나 접근이 어려운 자산에 투자할 때 유용합니다.
3) 실물 복제 방식(Physical Replication): 반면에 실물 복제 방식은 자산운용사가 기초지수를 구성하는 주식이나 채권 등의 실물 자산을 실제로 편입하여 운용하는 방식입니다.
4) 커버드 콜(covered call): 기초자산을 보유하면서 콜옵션을 매도하는 전략을 커버드 콜 전략이라 합니다. 커버드콜 전략은 '합성복제방식’이나 '실물 복제 방식’과는 다른 독립적인 옵션 투자 전략입니다. 투자자가 보유한 주식에 대해 콜옵션을 매도(판매)하는 것으로, 주가가 일정 범위 내에서 등락할 때 수익을 얻을 수 있는 전략입니다.
이 전략의 핵심은 투자자가 보유한 주식이 있을 때, 해당 주식에 대한 콜옵션을 매도하여 옵션 프리미엄을 수익으로 얻는 것입니다. 주가가 상승하면 콜옵션 매수자가 옵션을 행사할 수 있으나, 투자자는 프리미엄을 이미 받았기 때문에 이를 통해 어느 정도 수익을 보장받습니다. 반면, 주가가 하락하거나 크게 변동하지 않으면 콜옵션은 행사되지 않고, 투자자는 프리미엄을 순수익으로 유지할 수 있습니다. 따라서 , 커버드콜 전략은 주식 시장이 안정적이거나 소폭 상승하는 환경에서 추가 수익을 창출하기 위한 전략으로 사용됩니다. 이는 합성복제방식이나 실물 복제 방식과는 별개로, 옵션 거래를 통해 직접적인 수익을 추구하는 전략이라 할 수 있습니다.
현재 한국에서 커버드콜과 관련된 상품을 증권사에서 상당히 많이 영업하고 있습니다만,이처럼 커버드콜 관련상품은 박스권에서 투자 시나리오대로 목표를 달성할 수 있습니다. 즉 , 현재 방향성이 정해지지 않은 상황에서의 투자로는 적절치 못하다 볼 수 있습니다. els와 같습니다. 커버드콜 상품에 자산배분하기엔 적절치 못한 시기입니다.
5) 양매수전략(Long Straddle): 양매수 전략은 큰 변동성을 예상할 때 사용되는 전략으로 동일한 행사가격과 만기일을 가진 콜옵션과 풋옵션을 동시에 매수하는 전략입니다. 이 전략은 기초자산의 가격이 상승하거나 하락할 것으로 예상되지만, 그 방향이 불확실할 때 사용됩니다. 양매수전략의 목적은 큰 가격 변동에서 이익을 얻는 것이며, 변동성이 클수록 이익이 증가합니다. 그러나, 만약 기초자산의 가격이 크게 변동하지 않으면, 매수한 옵션의 시간가치 소멸로 인해 손실이 발생할 수 있습니다.
6) 양매도전략(Short Straddle): 낮은 변동성을 예상할 때 사용되는 전략으로, 동일한 행사가격과 만기일을 가진 콜옵션과 풋옵션을 동시에 매도하는 전략입니다. 이 전략은 기초자산의 가격이 크게 변동하지 않을 것으로 예상될 때 사용됩니다. 양매도전략의 목적은 옵션 프리미엄을 수익으로 얻는 것이며, 기초자산의 가격이 안정적일 때 최대 수익을 얻을 수 있습니다. 그러나, 만약 기초자산의 가격이 예상보다 크게 변동하면, 무한대의 손실 가능성이 있어 매우 위험한 전략으로 간주됩니다. 주로 기관투자자 측에서 많이 사용되며 , 일반적인 승률이 상당히 높습니다. 이는 옵션의 매도가 시간가치 개념으로서 유리해지기 때문이며 확률적 승률 퍼센티지는 대략 66%에 달합니다. 하지만, 양매도 전략은 시장의 예상과 반대로 움직일 경우 큰 손실을 입을 수 있기 때문에 신중한 분석과 판단이 필요하며, 되도록 개인에겐 권하지 않는 전략입니다. 소탐대실의 상황을 마주 할 수 있습니다.
옵션가격 결정 모형 소개.
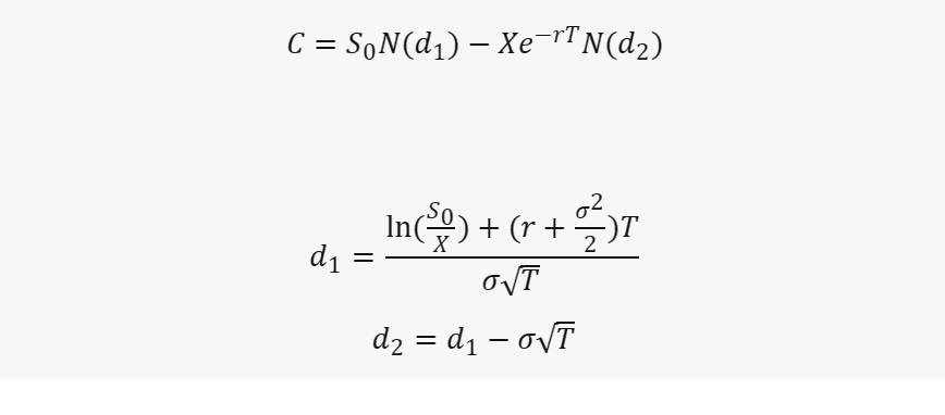
옵션가격 결정 모형중 중요한 이론적 모형의 하나인 블랙-숄즈 모형에 대해 알아보겠습니다. 1973년에 피셔 블랙과 마이런 숄즈에 의해 개발되었으며, 이후 로버트 머튼이 확장하여 블랙-숄즈-머튼 모형으로도 알려져 있습니다. 이 모형은 옵션의 공정한 가격을 계산하기 위해 다음과 같은 변수들을 사용합니다.
S₀: 기초 자산의 현재 가격
X: 옵션의 행사 가격
r: 연간 무위험 이자율
σ: 기초 자산의 변동성
T: 옵션의 잔여 만기 기간
블랙-숄즈 모형의 기본 가정은 다음과 같습니다.주가는 로그정규분포를 따르며, 연속적으로 변동합니다. 시장은 완전하며, 차익거래의 기회가 없습니다. 옵션의 만기일까지 배당을 지급하지 않는 주식을 기초자산으로 합니다. 무위험 이자율은 일정하며, 주식과 옵션의 공매에 제한이 없습니다. 이렇게 전제조건을 보면 현실과의 괴리가 상당히 있음을 파악하실 수 있습니다. 변수가 많으니 그대로 적용되지 않는다는 의미로 보시면 되겠습니다.
블랙-숄즈 모형의 콜 옵션 가격 공식은 다음과 같습니다.

여기서, ( N(d) )는 표준 정규분포 누적분포함수 값을 나타냅니다. 블랙-숄즈 모형은 유럽식 옵션에 대한 가격을 평가하는 데 적합하며, 미국식 옵션과 같이 만기 전에 언제든지 행사할 수 있는 옵션에는 직접 적용하기 어렵습니다. 이 모형은 옵션 트레이딩, 금융공학, 위험 관리 등 다양한 분야에서 널리 사용되고 있습니다. 이 모형은 옵션 가격 결정에 있어서 혁신적인 이론으로 평가받고 있으며, 이 모형을 바탕으로 한 다양한 변형 모형들이 개발되어 사용되고 있습니다. 그러나 실제 시장에서는 더 복잡한 요소들이 작용하기 때문에, 모형의 결과와 실제 옵션 가격 사이에 차이가 있을 수 있습니다만 한국옵션시장에 적용하기엔 나쁘지 않은 모형입니다. 모든 투자방식을 수행함에 있어서, 이론은 단지 참고일 뿐 이라는것을 꼭 유념해야 하시는 걸 잊지 마시며 건투를 빕니다.
'전반 지식, 스킬,상식.' 카테고리의 다른 글
| 체크 카드 추천 , 혜택, 체크카드 캐시백. (2) | 2024.05.23 |
|---|---|
| 기업분석 처음공부 ,wacc , roic ,사용법. (2) | 2024.03.28 |
| 채권투자 수익률, 기간별 밸런스 , 포트폴리오 비중. (1) | 2024.03.17 |
| 와이코프 패턴 소개, 적용, 후기. (0) | 2024.03.14 |
| 특수목적법인SPAC 소개 및 성장배경, 위험요소. (3) | 2024.03.08 |
